谈谈卷积及其在振动、中心极限定理和更新理论中的应用
卷积的来龙去脉相当复杂,部分人认为它与傅里叶分析联系紧密,然而二者究竟如何相互作用?卷积的根本特性究竟为何?此处从数学视角揭示卷积的非凡作用力。
要明白卷积的内涵,必须先明白傅里叶分析究竟讲什么,它的根本问题是什么,傅里叶级数众所周知,无需多言,但你对傅里叶级数掌握到什么地步,如果你只懂得微积分里那些基础概念,大概连傅里叶级数的皮都没碰到,你只是了解了傅里叶级数的基本定义而已。
要透彻认识傅里叶级数,需要掌握实变函数知识,因为傅里叶分析里,一个核心且关键的问题是,傅里叶级数能否收束?以何种形态收束?
这个议题在微积分领域难以厘清,事实上,即便函数具备连续性,其对应的傅里叶级数也可能在特定位置出现发散现象,我们甚至能够设计出Riemann可积的函数,这类函数的傅里叶级数在所有点都呈现发散状态,倘若你费尽心力将某个函数转化为傅里叶级数,最终却得知其无法收敛,内心必定会感到十分沮丧。差不多像是从没有安装电梯的二十层楼道小跑着下来,结果发现没带汽车钥匙。众所周知开元ky888棋牌官方版,Riemann可积函数是一种特性相当优良的函数,它几乎在积分区间上处处连续,但这究竟意味着什么?微积分学无法解释清楚,若想了解,就必须认真研习实变函数论。即便如此优秀的函数,也无法确保其傅里叶级数必然收敛,由此可以看出问题的严重程度有多深。傅里叶分析是一门历史悠久的学科,其中不少难题在上个世纪中期仍是众人探讨的焦点,由于该领域中诸多悬而未决的议题,人们开始探索新的途径,这恰好是泛函分析发展初期的一个动因。
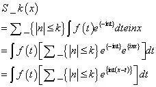
拖延了大半天,究竟要表达什么意思?稍微冷静些,要是连点耐心都没有,又怎能继续说明白?先从收敛性话题讲起,设想f是一个周期为2π的可积函数(具体周期值并非关键),它的傅里叶级数展开形式如下:
也可以写成指数形式:
其中,
我写不出积分的起止点,反正你们都清楚这是个从零到二π的积分范围,眼下要解决的是如何判定右侧的级数是收敛的。
明白这是什么概念吗?这就是序列的部分总和,我们的目的是把它表示出来,从而判断这个总和是否趋于极限,想要求出这个序列的总和是白费力气,你若能成功,天下就是你的,不过,我们可以把系数的积分形式引入序列,由此得到:

还清楚三角函数公式吗?明白方括号中的和如何计算吗?倘若不清楚,仍有机会,可以借助指数形式的级数再试一试。

最终,这个求和能否完成?倘若依旧无法解决,你仅存一次机会开yunapp体育官网入口下载手机版,需用你的智慧狠狠撞击南墙十二回,或许能唤醒你学生时代的美好回忆。
明白为什么要定义卷积了吗?
当前任务转变为判定前述积分是否趋向于f(x),情形看似明了,可惜未必如此,前述积分未必能趋向于f(x)!究竟何种函数的傅里叶级数会收敛?以何种形态收敛?此疑问暂且搁置,毕竟许多场合不要求收敛即可,若要详尽阐释,则需超越常规微积分的界限。那么开yun体育官网入口登录app,面对傅里叶级数不收敛的函数,难道我们就束手无策了吗?人类毕竟非常聪明,总能找到解决之道,S_k(x)无法收敛,不妨研究一下部分和的中值,这个尝试带来了惊喜,这些部分和的算术中值竟然几乎在所有地方都趋于稳定!这个算术中值究竟是什么?我们接着进行计算。
将D_k(x ) 带入可以算出
于是
我们再次获得了一种卷积,Fejer 定理揭示,那个积分在几乎所有点上趋于 f(x)。
D_k有另一个名字,叫做Dirichlet核,而F_m则被称为Fejer核,他们之间的卷积运算,也被称作带核的积分运算。事情并没有就此告一段落,恰恰相反,这仅仅是一个崭新的起点,一个具有深远影响的积分算子理论,由此正式拉开序幕。